秒杀(“秒杀”从何而来?去向何方?)

一类集美貌与智慧于一身的公式
各位大家好,我是秒杀公式,我的技能是回避繁琐计算、逻辑推理、一步到位快速得到结论。正是因为我快准狠,许多同学对我趋之若鹜,青眼有加,但是似乎在校老师对我又是不屑一顾,嗤之以鼻。到底我是怎样的存在,请听我娓娓道来。
01
何为秒杀公式?从何而来?
常见的秒杀的公式有以下几个来源:(文中附有及具体案例,以及相应的公众号推文)
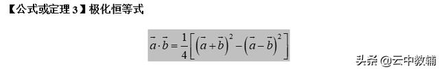
①二级结论:通过一推导证明之后但不能作为定理的结论——例如圆锥曲线的垂径定理、等和线、极化恒等式......
②超纲知识:不在考试大纲考察内容之内的公式与知识点——例如旧教材中的圆锥曲线的第二定义、焦半径公式......
③高数知识:其实这也算是超纲知识只不过这部分内容是高等数学也就是大学数学中的知识——例如洛必达法则、泰勒展开、朗格朗日中值定理、德摩根定律......
④竞赛知识:竞赛党才会涉及到的知识——例如:曲线系方程,梅涅劳斯定理......
02
秒杀公式魅力无穷
许多试题看似非常繁琐复杂,难以搞定,但是只要我一出马,就被我按在地上摩擦摩擦!毫无还手之力!



这么66666的公式,为何有些同学可能连听都没有听说过我呢?大概因为你们的老师觉得你们的能力不足以hold住我,所以才没有把我介绍给大家!
03
谁在神化秒杀公式?
在课堂上,一般我绝世的容颜只被展现在成绩较为优秀的同学的面前,而一般校的同学,往往都不知道有我这样的绝世佳人的存在!正是在培训机构,互联网课程的那些所谓“名师”的课堂上,我被一次又一次的展现在大家面前,得到的是一次又一次的惊呼——啧啧!真香!世上竟然有如此倾国倾城的公式!——当然我处理起“特定”问题来一针见血,绝不拖泥带水,完全不用动脑思考!正是因为如此,很多同学们对我爱不释手,认为我无所不能!
但是同学们你们都错了!那些培训机构以及网课名师,其实是拿着我当噱头,把我当成一种营销的方式(似乎学会了这个公式,一使用,你的数学成绩就能够获得提升!),让我成为他们所谓的收费课程的掮客!其实我哪有你们心目中想的那么美好!我其实也有着太多太多的缺点!只针对部分题目可以秒杀(机构和网络名师给你们呈现的题目都是可以秒杀的,那些不能秒杀的他们绝对不会告诉你,到了考试做题,你只有干瞪眼的份),其实有更多的题目,我是秒杀不了的,甚至会拖累你们!你们要是爱我,你们就要能接受我的全部。请看这个案例——
04
网络名师秒杀公式打脸案例
特别感谢金爸爸抱着我不入地狱谁入地狱的救死扶伤的精神!为了避免广大的无知少男少女误入歧途,金爸爸忍辱负重,忍着耳朵被污染的危险,又听完了一堂所谓专家的直播课,生怕漏掉了什么重要的技巧没有听到。并匪夷所思的按专家的传销组织般洗脑的讲解思路,强行痛苦的理解了一波他所谓的秒杀技巧,整理出了以下文章。该章节末,留有近几年各地的高考题,看看有多少题,可以用这招秒杀?
名师课堂实录

正


反



正


反



正


反


开始打脸




自我检测有几题是可以秒杀的?
05
什么是有价值的秒杀公式?
这么多的题目不能秒杀,我简直无敌自容!——其实一份试卷的题目,很少能够使用秒杀公式,只是碰巧可以秒杀罢了!
那么现在你还会珍惜我,爱护我么?同学们的老师也曾告诉你们若能合理地使用二级结论,能够精确的求解,还能够节省时间,这样的秒杀公式才值得被爱——
①结构简单,方便记忆
②易于理解,证明自然
③适用面广,多次呈现
这样的公式就能够助你一臂之力(当然要使用这些公式或者定理,前提条件很可能有些复杂!想获得巨大的时间收益,就必须承担风险!)。以下案例文末有对应的视频连接。






相对于有价值的秒杀公式,那一定就会害群之马——糟糕的秒杀公式,此类秒杀公式就是前者的反义词,它有许多的限制条件,或者不容易记忆,或不易推导,就只能一味的生搬硬套。例如——

以上这个秒杀公式看起来十分不错,但是你能记得住么?
上文中打脸案例中的秒杀公式更加废柴,看似可以秒杀N题,那只是名师为了能够利用秒杀公式解题,刻意找出来的题目,这样的公式不具有普适性,这样的公式简直就是应该被千刀万剐!
06
打开秒杀公式的正确方式
①必须了解秒杀公式能够成立的条件
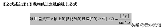
例如【公式或定理1】中的弦长公式,就是必须是过抛物线(焦点在x轴上)的焦点的弦才可以使用的公式,条件还是有些苛刻的。
②理解公式推导的过程
一味死记硬背,只要有一个字母记忆错误,此题万劫不复。我已经不止一次的强调有意义的学习对于数学的重要性。
③小心易混淆的公式

④解答题中不可以直接使用
尤其是竞赛课程中的某些结论必须简单的推导(不推荐这么做,容易被扣分),当然选填题没人看到过程请自便。(例如本题的曲线系方程就不可以在高考中这么解答)
07
错过了秒杀公式,就是LOSER?
小伙伴,不用担心就算你不认识我(秒杀公式),如果你对数学的本质一清二楚,解题也不存在困难的。以举两个例子说明,不需所谓的秒杀公式,也可以解决问题。





08
秒杀公式用还是不用?

大家好,我是秒杀公式,一类集美貌与智慧于一身的公式,我们形态各异,功能不同,但是只要你们能善待本宝宝,熟练的掌握我们的推导过程,适当的使用我们,能够提升一定做题的效率和精准度,但是不使用也没有太多的影响。若是盲目相信那些以我们为噱头的宣传,不加筛选的使用秒杀公式,那么你极可能继续一蹶不振。希望大家能够一分为二的看待我们,不要过分的迷恋,也不要过分的唾弃。四字真言——量力而为!
祝各位莘莘学子无论是否使用秒杀公式,都能在考试中取得好成绩!笔芯!
-
黄鳝女主播多大(“黄鳝门”事件侦破始末公开,涉事女主播两个月赚9万)2017年3月,一个被称为“黄鳝门”的事件一度被炒作成为一个沸沸扬扬的网络热点:直播平台上一名女主播把黄鳝塞入自己下体的淫秽色情视频引起网民热议, “黄鳝女”一时成为网络热搜关键词,虽然大多数的网站对视频的内容进行了封禁,但“黄鳝门”依旧成为...
-
两女主播拼酒视频(网红主播“三千哥”之死:拼酒直播为何没完没了)据多家媒体消息,5月17日凌晨,某知名短视频社交平台主播“三千哥”在直播时因饮酒过量而去世。5月21日中午,三千哥的朋友赵龙向新京报记者证实了此事,“我去参加了他的葬礼,这两天都没有睡好。”观看了三千哥5月17日凌晨直播的陈锋告新京报记者,三千哥...
-
女主播演唱姐姐(隐退直播间近3年的薇娅,如今怎么样了?)2021年12月19日,薇娅直播间上架了47件商品,从那以后,这个超头直播间一直没能再度开播。沧海桑田,如今将近3年过去了,薇娅又在干什么呢?本期最人物纪就带大家去了解一下薇娅的现状!薇娅原名黄薇,1985年出生于安徽省合肥市庐江县的一户普通人家里。7岁时...
-
东京热女主播系列贴吧(日本最美混血女主播:名人二代收割机,42岁挺着孕肚嫁入豪门)前言不管在哪混迹政坛,除了看实力之外,民众最关心的事情可能就要数他们的私生活了吧,毕竟这也算半个“明星人物”了,他们的私生活,哪有人不好奇呢。这不,在2019年,日本前首相小泉纯一郎的儿子,政坛著名的“花花公子”小泉进次郎突然官宣结婚,而且...
-
女主播直播穿高跟鞋(旭旭宝宝连麦女主播性感热舞,不停飞吻,惨遭老婆查房)旭旭宝宝在直播的时候,总是喜欢在无聊之际,给大家连麦一些主播,让兄弟们不至于只看游戏太枯燥,虽然说旭旭宝宝连麦女主播的频率很低,但是也是会有几率连到,最近旭旭宝宝在直播的时候,就连麦到了一个男主播,但是这个男主播丝毫不给旭旭宝宝面子,...
-
鳝鱼女主播死了没(“黄鳝门”案一审宣判23人获刑,涉事女主播被判1年9个月)近日,浙江省诸暨市检察院以涉嫌传播淫秽物品牟利罪对“黄鳝门”事件23名被告人依法提起公诉,诸暨市法院一审依法判处其十年以下有期徒刑。黄鳝门事件的女主播琪琪也在被判刑人员当中,以传播淫秽物品牟利罪被判处有期徒刑一年九个月,并处罚金五万。这...